Laman

Senin, 22 April 2013

KUMPULAN SOAL DAN JAWABAN ANALISIS SISTEM TENAGA LISTRIK (William D. Stevenson, Jr.) (Bab.4)




BAB 4.  KAPASITANSI  SALURAN  TRANSMISI

4.1       Suatu saluran transmisi tiga-fasa mempunyai jarak pemisah mendatar rata dengan 2 m antara-penghantar yang berdekatan. Pada suatu saat muatan pada salah satu penghantar luar nya adalah 60 µC/km, dan muatan pada penghantar tengah dan pada penghanatar luar yang lain adalah – 30 µC/km. Jari-jari masing-masing penghantar adalah 0.8 cm. Abaikanlah pengaruh tanah, dan tentukan jatuh tegangan antara kedua penghantar yang bermuatan identik itu pada saat yang telah disebutkan terdahulu.


Jawab :



4.2       Reaktansi kapasitif 60-Hz ke netral suatu penghantar padat, yang juga merupakan salah satu penghantar suatu saluran tiga-fasa dengan jarak pemisah sama sisi ekivalen sebesar 5 kaki, adalah 196.1 kΩ-mi. Berapakah nilai reaktansi yang diberikan oleh suatu daftar untuk reaktansi kapasitif dalam ohm-mil ke nertral penghantar itu pada jarak pemisah 1-kaki dan untuk 25 Hz ? Berapakah luas penampang penghantar dalam circular mil ?

Jawab :


Dengan jarak pemisah 5 ft
  

XC = (1.779/60) x 106 x n ( 5/r) 
XC =  0.02965 x 106 x n (5/r) = 196100  Ω-mi
n (5/r) = (196100/0.02965 x 106) = 6.614 ft
n 5 -n r = 6.614 ft  ==>  n r = - 5.00456
r = 0.00670 ft 

dari persamaan 4.12, dengan jarak pemisah 1 ft dan 25 Hz





4.3       Turunkanlah suatu persamaan untuk kapasitansi ke netral dalam farad per meter dari suatu saluran fasa-tunggal, dengan memperhitungkan pengaruh tanah. Gunakanlah sistem nama yang sama seperti dalam persamaan yang diturunkan untuk kapasitansi suatu saluran tiga-fasa di mana pengaruh tanah direpresentasikan dengan muatan-muatan bayangan.


Jawab :




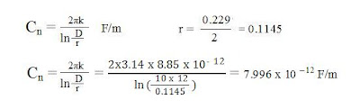
4.4       Hitunglah kapasitansi ke netral dalam farad per meter untuk suatu saluran fasa-tunggal yang tersusun dari dua penghantar lilitan-tunggal yang masing-masing berdiameter 0.229 in. Penghantar-penghantar itu terpisah dengan jarak 10 kaki dan berada 25 kaki di atas tanah. Bandingkanlah nilai yang didapat dari persamaan (4.10) dengan yang didapat dari persamaan yang diturunkan dalam Soal 4.3.


Jawab :
 

dari persamaan 4.10

Dari persamaan soal 4.3 


4.5       Suatu saluran transmisi 60-Hz tiga-fasa mempunyai penghantar yang tersusun dalam bentuk segitiga sedemikian sehingga dua dari jarak antar penghantarnya adalah 25 kaki dan jarak yang ke tiga 42 kaki. Penghantar-penghatar itu adalah jenis ACSR Osprey. Tentukanlah kapasitansi ke netral dalam mikrofarad per mil dan reaktansi kapasitif ke netral dalan ohm-mil. Jika saluran itu 150 mi panjangnya, hitunglah kapasitas ke netral dan reaktansi kapasitif.


Jawab :


Dari Daftar A1 diameter Osprey = 0.879 inch ==> r = 0.4395 inch


Cn =  8.301 x 10 – 12 x 1.609 x 106 F/mil = 0.000013356 F/mile = 0.013356 µF/mil






Dari daftar A1, Xq1 = 0.0981 

dan interpolasi dari daftar A2, Xd1 = 0.0999 + 0.72(0.1011-0.0999) = 0.1006
XC = 0.0981 + 0.1006 = 0.1987 x 106 Ω-mi

Untuk panjang 150 mile :
Cn = 150 x 0.013356 = 2.0034 µF
XC = (0.1987/150) x 106 = 1324.6 Ω




4.6   Suatu saluran 60-Hz tiga-fasa mempunyai pemisah mendatar rata. Penghantar-penghantarnya mempunyai diameter luar sebesar 3.28 cm sedangkan jarak pemisah antara penghantar-penghantar adalah 12 m. Tentukanlah reaktansi kapasitif ke netral dalam ohm-meter dan reaktansi kapasitif saluran dalam ohm jika panjangnya 125 mi.


Jawab :






Untuk panjang 125 mile : ( 1 mile = 1609 m )






4.7    Suatu saluran tiga-fasa 60-Hz tersusun dari sebuah penghantar ACSR Bluejay per fasa dan mempunyai pemisah mendatar rata dengan jarak 11 m antara penghantar-penghantar yang berdekatan. Bandingkanlah reaktansi kapasitif dalam ohm-kilometer per fasa untuk saluran ini dengan saluran yang menggunakan berkas dua-penghantar dengan penghantar-penghantar ACSR 26/7 yang mempunyai luas penampang aluminium total yang sama seperti saluran penghantar-tunggal dan dengan jarak pemisah 11 m antara berkas-berkas. Jarak pemisah antara penghantar-penghantar dalam berkas adalah 40 cm.


Jawab :





Dari Daftar A1 Bluejay diameter = 1.259 inch
r = (1.259/2) x 2.54 x 10 – 2 = 0.01599  m




 
XC = 3.22681x105 Ω-km = 322681 Ω-km.



Untuk Dove, diameter = 0.927 inch
r = (0.927/2) x 2.54 x 10 – 2 = 0.00117 m

berkas 2 penghantar dengan jarak 40 cm   



XC = 2.43440 x105 Ω-km = 243440 Ω-km.




4.8      Hitunglah reaktansi kapasitif dalam ohm-kilometer untuk suatu saluran tiga-fas 60-Hz yang mempunyai tiga penghantar ACSR Rail pada masing-masing berkas dengan jarak pemisah 45 cm antara penghantar-penghantar di dalam berkas. Jarak pemisah antara pusat-pusat berkas adalah 9, 9 dan 18 m.


Jawab :



Untuk Rail, diameter = 1.165 inch
r = (1.1657/2) x 2.54 x 10 – 2 = 0.0148 m

jarak pemisah 45 cm antara penghantar-penghantar di dalam berkas











XC = 2.08205 x 105 Ω-km = 208205 Ω-km.  


4.9       Enam penghntar ACSR Drake membentuk suatu saluran tiga-fasa rangkaian ganda 60-Hz seperti ditunjukkan dalam Gambar 3.15. Tetapi jarak pemisah tegak adlah 14 kaki; jarak mendatar yang lebih panjang adalah 32 kaki; dan jarak-jarak mendatar yang lebih pendek adalah 25 kaki. Carilah reaktansi kapasitif ke netral dalam ohm-mil dan arus pengisian per mil per fasa dan per penghantar pada 138 kV.


Jawab :

Dari Daftar A1 untuk Drake, diameter = 1.108 inch ( 1 ft = 12 inch)



Arus pengisian





 




oomsoo

1 komentar: